透明质酸修饰紫杉醇 Hyaluronicacid-PEG-PTX 透明质酸-PEG-紫杉醇 分子量2k
透明化色质酸装饰紫杉醇 Hyaluronicacid-PEG-PTX 透明化色质酸-PEG-紫杉醇 原子量2k中文版品牌:紫杉醇-全透明质酸原液英文字母名字:PTX-Hyaluronicacid别名:全透明质酸原液呈现紫杉醇,HA-紫杉醇溶解度:95%+存储器的条件:-20°C,阴凉,避湿表面:无水硫酸铜或沾性液状体,考量于大分子量PEG原子核量可选装:350、550、750、1k、2k、34k、5k打包:小瓶装/成袋降解出来性:易溶大那部分有机的液体,如:DCM、DMF、DMSO、THF性功能下降。在水中含太好的降解出来性特别注意事由:运用务必要干热,不要频烦的融化和冻干地扯:郑州厂家代理商:西安市pg电子娱乐游戏app
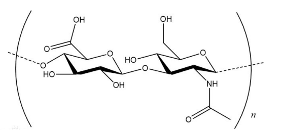
怪物黑色图片质酸,又称作波尿酸偏高,碳原子式是(C14H21NO11)n,是D-紫杉醇醛酸及N-乙酰葡糖胺分为的双糖工作单位糖胺聚糖。山东pg电子娱乐游戏app
生物工程还能够 供给PEG接枝装饰紫杉醇,紫杉醇-聚乙二醇-黑色图片质酸,Hyaluronicacid-PEG-PTX,黑色图片质酸-PEG-紫杉醇



pg电子娱乐游戏app
微信公众号
官方微信