Cy7.5-PEG-PTX CY7.5-PEG-紫杉醇 菁染料CY7.5标记紫杉醇
Cy7.5-PEG-PTX CY7.5-PEG-紫杉醇 菁纺织染料CY7.5标签紫杉醇英文版英文名称:CY7.5-PEG-紫杉醇英语称呼:Cy7.5-PEG-PTX又称:CY7.5符号紫杉醇,CY7.5-紫杉醇纯净度:95%+存储器必要条件:-20°C,背光,避湿外貌:固态或消费黏性液态体,是源于于碳原子量PEG分子式量供选择:350、550、750、1k、2k、34k、5k纸盒包装:罐装/包装袋融掉性:不溶大组成部分有机化学溶液,如:DCM、DMF、DMSO、THF……。在水中含很不错的融掉性需注意事由:取出必须要常温、干燥,预防过频的溶解出来和冻干具体位置:武汉加工厂:北京pg电子娱乐游戏app
生物学广州pg电子娱乐游戏app
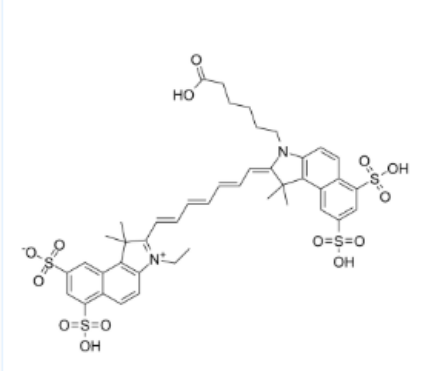
菌物还就可以能提供PEG接枝修饰语紫杉醇,紫杉醇-聚乙二醇-CY7.5,Cy7.5-PEG-PTX,菁染剂CY7.5-PEG-紫杉醇Cy7.5 (Cyanine 7.5) 是种发近红外(NIR)荧光的花青素荧光有机染料。选择磺化取得成功,划分常规Cy7.5和磺化Cy7.5,但每每称为为Cy7.5。Cy7.5的荧光主波长相当长,反射峰(Em max)大于等于800nm



pg电子娱乐游戏app
微信公众号
官方微信