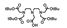
螯合剂DTPA-tetra(tBu)ester CAS:180152-83-4
螯合剂DTPA-tetra(tBu)ester CAS 180152-83-4原子核量:617.8色度≥ 94%类:大环配体类化合物鉴定结论具体方法:Mass, NMR定性分析具体方法:HPLC组成式:



pg电子娱乐游戏app
微信公众号
官方微信