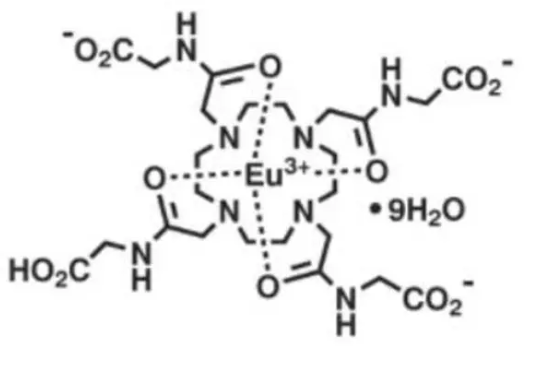
Eu-DOTA-4AmC,CAS:481668-57-9,大环配体配合物
英文怎么说名:Eu-DOTA-4AmC化学物质式:EuC24H37N8O12·9H2O有机化学分类:Europium (III) 1,4,7,10-Tetraazacyclododecane-1,4,7,10-tetrakis(acetamidoacetic acid)原子核量:943.7CAS:481668-57-9溶解度:≥ 95%形式式:



pg电子娱乐游戏app
微信公众号
官方微信