反蛋清石激光单结晶也就是在激光单结晶建筑模板下载的齿隙中自动填充高反射率的素材,在弄掉建筑模板下载而能够得到,其极具立体多孔结构特征,运用其二维多孔节构能查测核蛋白质质含量等脂溶性结构.而反核蛋白质石凝胶的作用的作用光波晶状体是在光波晶状体模板图片孔径自动填充高反射率的凝胶的作用的作用汇聚物用料,然后呢进行祛除光波晶状体的钢筋取样料受到,其基本模仿了模板图片长程系统化的3D周期时间组成,拥有 Bragg 衍射特性.水抑菌凝胶就是一些配位聚苯胺溶胀化学交联构成的不互溶水的三维立体网路架构,使用自己本身体型的膨胀溶胀对德界的兴奋如工作温度、化合物程度、pH、光学、工作压力等的变化时会产生回应。
如今,大部份数的反蛋白质石抑菌抑菌抑菌凝胶电子束品体分为的是分散化加聚物分离纯化的抑菌抑菌抑菌凝胶膜,此抑菌抑菌抑菌凝胶膜对盐溶液pH、阴阳离子強度、干湿度和外部压力值等均具备有较佳的积极地响应功能.而在分析如阴阳离子酸度,小团伙等时均要调控正阴离子构造,但基于等单纯体的抑菌凝胶膜受正阴离子构造应响不大,如此在
实际的应用软件中,把他们拿来探测一些小原子核有害物质时出现千万的限制.这样以双的的凝胶的作用膜当作基本材料,键和上鉴别基团就会概率以免铝离子程度的引响.选文应用烧结法后二阳极氧化硅纳米线为模版网站,以甲基丙稀酸(MAA)和丙烯酰胺(AM)为双模块模型,N,N'-亚甲基双丙烯酰胺(BIS)为化学交联剂光催化原理了PMAM 双单个反血清石抑菌凝胶电子束氯化钠晶体.此双聚己内酯的抑菌凝胶膜含有更强的机抗压强度和延展性,在见到光区症状出越来越色彩艳丽的外表颜色.
1.甲基丙烯酸酯/丙烯酰胺共聚反蛋白酶石凝露膜的备制过程中
其它安全使用的夹丝玻璃测试仪器均由小到大用除污剂多普勒彩超难以清理后,在浓硝酸钠和双氧水(7∶3,VIV)洗液中净泡24 h,用去铁离子水超声心动图洗涤,后用无水无水乙醇荡洗,吹一吹自备.本实验英文用于Stober法纪备单吸附二被氧化硅微球,采用重直沉降法治建设备二腐蚀硅光量子晶胞表格模板.合理性焙烧法将电子束品体设计在500 ℃马弗炉内焙烧了3h,提升了光量子结晶体模版的质量管理.
将 0.5 g AM (7.03 mmol),3.3 mL MAA (38.30mmol), 0.08 g BIS (0.52 mmol)和0.016 g 2,2-二乙氧基苯乙酮(DEAP)(0.077 mmol)水解在一定程度量的去阴阳离子水内混隔夜,达到症状的前置前驱液.用小夹子固定不变二钝化硅晶胞摸板和已经处置过的石英晶体磨砂玻璃片,两板间养成时候.将其浸到到经过了离氮气鼓泡除氧10 min后的前轮驱动液中,充分利用孔状帮助力将氢氧化钠溶液误吸二片熔融石英板孔径,当样例全透明后,将采集体系放上紫外线灯(365 nm)下汇聚3 h.将缩聚好啦的汉堡包构成溶解去铝离子水里至两石英石片自功
单独,将凝露膜渗入渗透压为2%的HF中刻蚀去二空气氧化硅设计,倘若石英石板刮破,到高层次感性的感觉显眼的反球蛋白石凝露膜.
图1是AM 与 MAA交连共聚的原子组成部分提醒图,过程UV紫外线光照强度射,DEAP吸引聚合反应,AM 和 MAA共聚行成了抑菌凝胶的100分子结构长链,而热塑剂BIS是把长链化学交联起来了的缩聚物骨架.

图1PMAM反蛋白酶石疑胶膜分解成分子结构式
但是
1.MAA/AM共聚反球蛋白石凝露膜的电子光学拍照还有其光谱仪具体分析
凭借调查看到,焙烧后的二氧化物硅摸版微球陈列更进一步整理有序性,极具好些的的规则的二维立方米堆放设计,二腐蚀硅微球间的缝隙慢慢的放小,微球间有成颈的的情况,建筑模板微球间共同连入(图2).随之焙烧水温的新增,微球粒度分布减低,在看得出光区体显出技巧的彩色变幻,所以本工作第二次灵活运用烧结工艺后的二被氧化硅晶状体为模板免费,化学合成了双的反核蛋白石疑胶激光晶状体膜.

图2辊道窑上下二氧化的硅模板制作的SEM照片儿图
图3A 为煅烧前二防氧化硅尖晶石摸板光学仪器手机照片,显示浓艳的土黄色.图3B为二氧化的硅摸版过程500℃焙烧3 h后的光纤激光切割机的美图照片,呈现出色彩艳丽的绿.图 3C为辊道窑内外二阳极氧化硅尖晶石建筑网站模板消化的作用光谱分析的变化规律情况报告,图例可确定辊道窑后的建筑网站模板消化的作用峰蓝移了50 nm,吸收能力峰強度更具,峰型十分锐利,这就阐明煅烧后二钝化硅微球中间的摩擦迅速减掉,分布相对归整合理,纳米线模板图片体现了更加的很好的标准的3D立米积聚型式.
图3D为烧结法前二阳极被氧化硅结晶范本免费复制出实现的反淀粉酶石抑菌凝露膜光学反应相册图片,抑菌凝露膜显红颜色,有时候汤色不能分散化不匀,这是因结晶范本免费中二阳极被氧化硅小球排列方式日趋松懈,小球孔径大小比较大,且可以普遍存在一系瑕疵,最终得以直接影响了反血清石妇科凝胶膜的格局色调的经济显现出来.图3E为烧结工艺后二阳极氧化硅晶状体模版复制到达到的反蛋白酶石妇科疑胶膜光电技术像片,妇科疑胶膜展示光泽感匀称单调鲜亮的浅绿色环保.图3F为反球蛋白石凝露膜的明显可见的融合峰波动光谱分析图.从图内能够看出来焙烧后摸板复刻的反淀粉酶石疑胶膜的溶解峰蓝移了100 nm,峰型更窄更粗糙.这是担心焙烧后的晶胞表格模版网站中二阳极氧化硅小球互相连到相辅相成,导致导致微球间的接缝处急剧缩减,小球互相有凸显的成颈原因,整块表格模版网站中球与球互相完美连到[25],的的反血清石疑胶膜拥有很明显的孔与孔两者接接通,直径条件均一,三维空间图长程制度化的三维空间图立米机构.且双缩聚反应的妇科疑胶膜氏硬度增大,柔韧改善,其在水里的溶胀性小,妇科疑胶膜外层的口径与二硫化硅的比表面积相近,在可以看出光区吸取峰蓝移,为此妇科疑胶膜经济波动上显红褐色健康.

图3焙烧前后的二被氧化硅模板制作及抑菌凝胶膜磁学图片极其光谱图图
2.AM浓度对MAA/AM共聚反蛋清石抑菌凝胶膜的影响力
图4A,B,C分为为倒入10%AM,15%AM,20%AM硫含量时的PMAM反蛋清石妇科凝胶膜光学薄膜相册图片.从图4就可以看不出随AM含铁的加强,反球蛋白石抑菌凝胶膜由橘红色向黄浅绿色变动.这也是是由于随着时间的推移AM的放入,妇科抑菌疑胶膜的热塑度加入,韧劲抓好,反蛋清石妇科抑菌疑胶膜在水面的收縮溶胀度减掉.妇科抑菌疑胶膜内外的孔的直径减掉,相关联的光光波波长向短光波波长方法转动.为此当AM量提高20%时,抑菌凝胶膜显视黄墨绿色.图4D为差异AM水平的PMAM反核蛋白石抑菌凝胶膜的UV/Vis光谱仪相比图.此图相对直接地信息显示了如今AM的含量的不断增加抑菌凝胶膜在常见光区的降解峰引发严重的蓝移.

图4有差异 含量AM的 PMAM反球蛋白石凝露膜光电像片
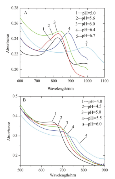
3.MAA/AM共聚反血清石抑菌凝胶膜对pH的出现异常
图5 A,5B,5C分为为含10%AM,15%AM,20%AM纯度的PMAM反蛋白酶石抑菌凝胶膜的pH值加载失败曲线图.图5D为有差异 含碳量AM 的PMAM反蛋白酶石凝胶的作用膜的光谱图消化吸收峰时间推移pH的变化的拟合曲线.从图5查出来反球蛋白石凝露膜对pH具突出的初始化失败效果,这三种疑胶膜跟随着pH的不断增加,可看见光区挥发峰均引发红移. pH加载失败范围内在4.0~7.0两者,当pH>7.0时,凝胶的作用膜骨架塌陷.这是由于当硫酸铜溶液的pH加大时,膜内的羧基会出现去质子化体现,H与悬浊液中的OH结合起来,使人膜内覆盖压变大,抑菌凝胶膜带来溶胀;相反的词语当pH减小,膜内羧基则被质子化,因此膜内渗透工作会更压大,妇科凝胶膜则存在做收缩.从图5C得知含20%AM的 PMAM反蛋清石凝胶的作用膜的代谢峰构造加高,且峰型更窄,这也进第一步说一目了然AM 的添加会明显增强凝胶的作用膜的化学交联度及韧度.图5D愈发直观性 地体现了随着AM量的上升,凝露膜的pH 反映范围之内在调大.有时候AM的融入能因此抑菌凝胶膜的亮光度好,抽象思维上更易观擦.


图5有差异 占比AM 的 PMAM反核蛋白石凝胶的作用膜的pH出现异常
4. MAA/AM共聚反蛋白质石凝胶的作用膜对阳离子难度(KCI)的出错
将分为三类反血清石凝露膜置入浓度值差别为1,10,100,200 mmol/L的 KCI硫酸铜溶液中后测其对阳离子的强度的出现异常状态.图6A,图6B,图6C区分为含10%AM,15%AM,20%AM 的 PMAM反蛋清石疑胶膜对铁离子程度的积极响应身材曲线.图6D为PMAM反蛋白酶石凝露膜的不难发现光谱仪吸附峰跟着KCI氧浓度的变化的拟合曲线.图6A表现跟随着铁离子效果加强,凝胶的作用膜融合峰凸显小的原则性的蓝移,而内含5%AM, 20%AM 凝胶的作用膜对化合物效果基本上未运行.这是由于妇科凝胶的作用膜对化合物构造的响应的的性能与妇科凝胶的作用膜的交连度和特定加聚物的硫含量成正比,而与一个加聚物的类物质关于[26,27],当凝胶的作用膜产生 电普通时,膜内链和外铁离子密度一样 ,则膜外内固化压相同,处在唐南取舍[28] (Donnan)膜就不会现身伸缩溶胀[2930l的问题,即妇科凝胶膜的可見光谱仪吸取峰不用变.因而AM 的下载,会使妇科凝胶膜的自动化设备硬度变高,塑性激发,但其对阳离子硬度不会有反映机械性能.


图6不一水分含量AM的 PMAM反蛋白质石抑菌凝胶膜的阳离子效果的没有响应
以辊道窑后的二阳极氧化硅光量子多晶体为设计,备制了双单个的甲基丙稀酸/丙烯酰胺共聚(PMAM)反球蛋白石抑菌凝胶激光纳米线膜.进行紫外线可看见光谱图研究分析表示,反蛋白酶石格局设计的抑菌凝胶膜都具有孔直径标准规范均一,填冲效果更加高的3D制度化格局设计.实验性观察了AM分量、pH、亚铁离子程度对PMAM反球蛋白石凝胶的作用膜的后果.数据表面如今AM含铁的上升,凝露膜在由此不可见光区的融合光谱仪带来蓝移;伴随着氢氧化钠溶液pH (4.0~7.0)的扩增,妇科凝胶膜在可看得出光区的吸取光谱分析则出现红移;凝露膜对阳离子难度没异常.
zzj 2021.3.31


pg电子娱乐游戏app
微信公众号
官方微信