PMMAHPAran 聚甲基丙烯酸甲酯共(丙烯酸-3-羟丙酯) 无规共聚物
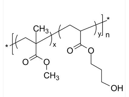
中文翻译名稱:聚甲基丙烯酸酯酯甲酯共(丙烯酸酯酯-3-羟丙酯)英文怎么说简单来说就是:PMMAHPAran因为它的全称:Poly(methyl methacrylate-co-3-hydroxypropyl acrylate), randomCAS号:n/a; PMMA: 9011-14-7; PHPA: 32029-53-1原子核式:[(C5H8O2)x(C6H10O3)y]n主链结构设计:无规共聚物具体部分:PMMA亲疏水性树脂:疏水物料型:常规的蒙题子荧光/亮光:无铜网外装/底部形态:固态硬盘咖啡豆或小粒(以实际上铜网外装算起)溶解度:≤ 100%构成式:



pg电子娱乐游戏app
微信公众号
官方微信