PMMAtBuMAran 聚甲基丙烯酸甲酯共甲基丙烯酸叔丁酯 无规共聚物
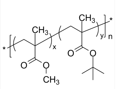
中文版名称大全:聚甲基亚克力甲酯共甲基亚克力叔丁酯英语翻译俗称:PMMAtBuMAran因为它的全称:Poly(methyl methacrylate-co-tert-butyl methacrylate), randomCAS号:25608-33-7分子结构式:[(C5H8O2)x(C8H14O2)y]n主链空间结构:无规共聚物注意物质:PMMA亲疏水性聚氨酯:疏水新产品项型:常用涨分子式荧光/会亮:无铜网外貌/特征:固态硬盘安装纳米银溶液或粒状(以现实的铜网外貌算起)含量:≤ 100%构成式:



pg电子娱乐游戏app
微信公众号
官方微信