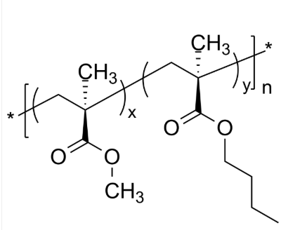
PMMAnBuMAran 聚甲基丙烯酸甲酯共甲基丙烯酸正丁酯 无规共聚物
常常名号:聚甲基丙稀酸甲酯共甲基丙稀酸正丁酯英文音标统称:PMMAnBuMAran-iso英文版全名:Poly(methyl methacrylate-co-n-butyl methacrylate), random - isotacticCAS号:25608-33-7团伙式:[(C5H8O2)x(C8H14O2)y]n主链结构特征:无规共聚物最主要材料:PMMA亲疏丙烯酸乳液:疏水类产商品型:平时比较高的分数子荧光/会亮:无铜网油漆颜色/社会形态:固态硬盘碎末或颗粒剂(以事实上铜网油漆颜色为界)溶解度:≤ 100%组成部分式:



pg电子娱乐游戏app
微信公众号
官方微信