PMMAADMAran 聚甲基丙烯酸甲酯共(甲基丙烯酸1-金刚烷酯)
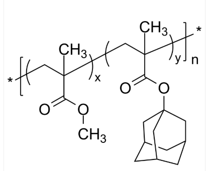
中文字幕名称大全:聚甲基亚克力甲酯共(甲基亚克力1-金刚烷酯)日语缩写英文:PMMAADMAran英文版全程:Poly(methyl methacrylate-co-1-adamantyl methacrylate), randomCAS号:n/a; PMMA: 9011-14-7分子结构式:[(C5H8O2)x(C13H20O2)y]n主链架构:无规共聚物重点材质:PMMA亲疏水性树脂:疏水服务类形:日常提氧分子荧光/变色:无外部/特性:固态硬盘粉末状原材料或颗粒剂(以真正外部算起)含量:≤ 100%成分式:



pg电子娱乐游戏app
微信公众号
官方微信