endo-BCN-NHS ester|BCN基团与叠氮化物标记
endo-BCN-NHS ester试剂反应原理:
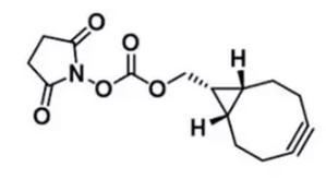
BCN基团与叠氮化物标记的生物分子反应,NHS酯可用于标记蛋白质的伯胺(-NH2)、胺修饰的寡核苷酸和其他含胺分子。
endo-BCN-NHS ester物理数据:
中文名:(1R,8S,9S)-双环[6.1.0]壬-NHS 酯,endo-BCN-NHS 酯
英文名:endo-BCN-NHS ester,BCN-Osu
CAS:1426827-79-3
化学式:C15H17NO5
分子量:291.3
外观:白色固体
规格:25mg,50mg,100mg
货期:根据具体的产品而定
纯度:95%
用途:实验用途,科学研发,可定制服务
储存条件: 干燥、避光,短期(数天至数周)在 0 - 4 C 或长期(数月至数年)-20 C。



pg电子娱乐游戏app
微信公众号
官方微信