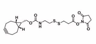
endo-BCN-SS-NHS ester,endo 丙烷环辛炔-双硫键-活性酯的用途
endo-BCN-SS-NHS ester试剂反应原理:
环丙烷环辛炔(BCN,双环[6.1.0]壬炔)可通过无催化剂的点击化学与叠氮标记的分子或生物分子反应生成稳定的三氮唑连接。BCN 系列产品包括endo-BCN-OH、endo-BCN-PNB、endo-BCN-PEG-acid等。
中文名:(1R,8S,9S) - 双环[6.1.0]壬-SS-NHS 酯,endo 丙烷环辛炔-双硫键-活性酯
英文名:endo-BCN-SS-NHS ester
CAS:N/A
化学式:C20H26N2O6S2
分子量:454.56
外观:浅黄色或无色油性
规格:5mg,10mg,25mg
货期:根据具体的产品而定
纯度:95%
用途:实验用途,科学研发,可定制服务

BCN-PEG-DLPE 环丙烷环辛炔-聚乙二醇-二月桂酰基磷脂酰乙醇胺
BCN-PEG-Vitamin D 环丙烷环辛炔-聚乙二醇-维生素D
BCN-PEG-Vitamin E 环丙烷环辛炔-聚乙二醇-维生素E
BCN-PEG-Cholesterol 环丙烷环辛炔-聚乙二醇-胆固醇
BCN-PEG-C18 Stearic Acid 环丙烷环辛炔-聚乙二醇-硬脂酸
BCN-PEG-C16, palmitic acid 环丙烷环辛炔-聚乙二醇-棕榈酸
BCN-PEG-DMG 环丙烷环辛炔-聚乙二醇-二肉豆蔻酰-sn-甘油
BCN-PEG-DPG 环丙烷环辛炔-聚乙二醇-双棕榈酸甘油酯
BCN-PEG-DSG 环丙烷环辛炔-聚乙二醇-DSG
BCN-PEG-DPPS 环丙烷环辛炔-聚乙二醇-二棕榈酰磷脂酰丝氨酸
BCN-PEG-PLGA 环丙烷环辛炔-聚乙二醇-聚乳酸-羟基乙酸共聚物
BCN-PEG-PCL 环丙烷环辛炔-聚乙二醇-聚已内酯
制造厂家:山东pg电子娱乐游戏app 生物工程科技总部十分有限总部储放的时间:2年上传:冰箱和谐注意:全部科研工作,不允许用到人们实验室

pg电子娱乐游戏app
微信公众号
官方微信