PHEMAAAran 聚甲基丙烯酸羟乙酯共丙烯酸 无规共聚物 Poly(2-hydroxyethyl methacrylate-co-acrylic acid), random
中文名称:聚甲基丙烯酸羟乙酯共丙烯酸
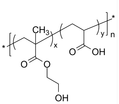
英文版代称:PHEMAAAran英语翻译全程:Poly(2-hydroxyethyl methacrylate-co-acrylic acid), randomCAS号:n/a; PHEMA: 25249-16-5; PAA: 9003-01-4原子式:[(C6H10O3)x(C3H4O2)y]n主链构造:无规共聚物最主要含量:PHEMA亲疏水溶性:亲水物料型:正常夺原子荧光/会发光:无外觀/形状:nvme固态咖啡豆或粒状(以实计外觀为基准)饱和度:≤ 100%结构的式:

包装箱: 罐装功用:用到临床分析,口服药物产生,纳米级技术应用和新相关材料分析。产品品牌:pg电子娱乐游戏app
怪物生产地:昆明产生商:深圳pg电子娱乐游戏app
生物学科学现有子公司和睦提升:仅广泛用来教育科研实践,不是广泛用来我们身体!pg电子娱乐游戏app
菌物可不可以保证繁多有差异的缔合物的嵌段共聚物,有均聚物,嵌段共聚物,星形缔合物等。相关内容品牌:P4VP-PDMS 聚(4-乙稀基吡啶)-聚二甲基硅氧烷 两亲性二嵌段共聚物Poly(4-vinyl pyridine)-b-poly(dimethylsiloxane)P4VP-PMMA 聚(4-丁二烯基吡啶)-聚甲基水性聚氨酯甲酯 两亲性二嵌段共聚物Poly(4-vinyl pyridine)-b-poly(methyl methacrylate)