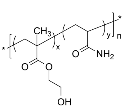
PHEMAAMDran 聚甲基丙烯酸羟乙酯共丙烯酰胺 无规共聚物 Poly(2-hydroxyethyl methacrylate-co-acrylamide), random
简体中文英文名称:聚甲基丙烯酸酯羟乙酯共丙烯酰胺日语简称英文:PHEMAAMDran英文翻译称怎么读:Poly(2-hydroxyethyl methacrylate-co-acrylamide), randomCAS号:n/a; PHEMA: 25249-16-5; PAM: 9003-05-8氧化学结构式:[(C6H10O3)x(C3H3ONH2)y]n主链架构:无规共聚物基本营养成分:PHEMA亲疏水:亲水產项目型:一般涨分子式荧光/发光字广告:无外貌/体型:固体粉沫或颗粒肥料(以实际效果外貌起算)纯净度:≤ 100%形式式:



pg电子娱乐游戏app
微信公众号
官方微信