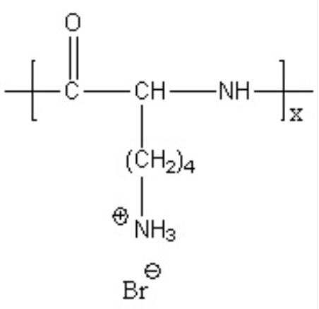
PDKB 聚D赖氨酸氢溴酸盐 聚氨基酸-细胞培养用 Poly(D-lysine hydrobromide), CAS#27964-99-4
繁体中文称谓:聚D赖氨酸氢溴酸盐日语简写:PDKB用英语全程:Poly(D-lysine hydrobromide)CAS号:27964-99-4主链的结构:直链均聚物主要化学成分:PDKB亲疏水性树脂:亲水护肤产品品种型:聚酪氨酸荧光/亮光:无外装/结构:固定粉末状原材料或颗粒物(以实际的外装为基准)纯净度:90-100%型式式:



pg电子娱乐游戏app
微信公众号
官方微信