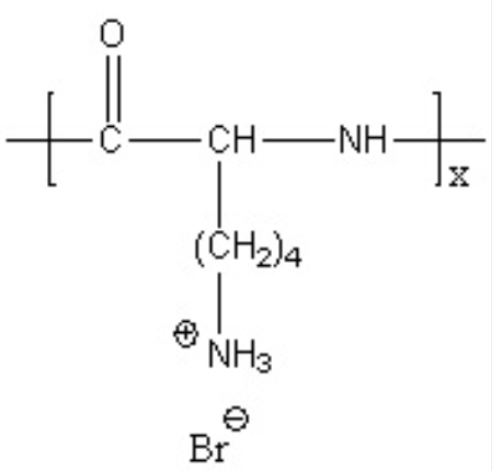
聚L赖氨酸氢溴酸盐水溶液 0.01%PLKB 聚氨基酸-细胞培养用 Poly(L-lysine) Solution 0.01% (w/v) in water, CAS#25988-63-0
2英文种类:聚L谷氨酸钠盐-聚乙二醇-聚L谷氨酸钠盐英语名字简称:PLE-b-PEG-b-PLE / PLE-PEG-PLE英文字母全名是:Poly(L-glutamic acid)-block-poly(ethylene glycol)-block-poly(L-glutamic acid) sodium saltCAS号:n/a; PEG: 25322-68-3; PLE: 26247-79-0主链空间结构:ABA三嵌段共聚物最主要的基本成分:PLE亲疏水:亲水车辆内型:聚核苷酸荧光/变色:无表面/性状:固态硬盘粉状或粉末(以合理表面为界)纯净度:90-100%结构特征式:



pg电子娱乐游戏app
微信公众号
官方微信