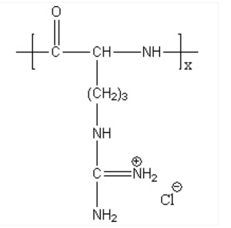
PLR 聚L精氨酸盐酸盐 聚氨基酸-均聚物 Poly(L-arginine hydrochloride), CAS#26982-20-7
常常名称大全:聚L精氨酸硫酸盐英语俗称:PLR日语英文名称:Poly(L-arginine hydrochloride)CAS号:26982-20-7主链节构:直链均聚物最主要的含量:PLR亲疏水溶性:亲水产品的多种类型:聚氨基荧光/发光字广告:无外装/特性:固体粉状或颗粒肥料(以实践外装为基准)溶解度:90-100%组成部分式:



pg电子娱乐游戏app
微信公众号
官方微信