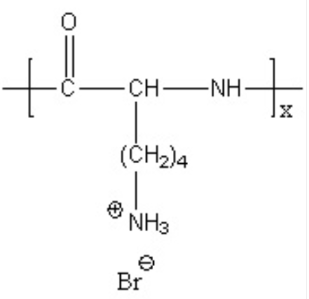
PDKB 聚D赖氨酸氢溴酸盐 聚氨基酸-均聚物 Poly(D-lysine hydrobromide), CAS#27964-99-4
中文名字名号:聚D赖氨酸氢溴酸盐英语也叫:PDKB英语怎么说它的全称:Poly(D-lysine hydrobromide)CAS号:27964-99-4主链格局:直链均聚物主要是成份:PDKB亲疏水溶性:亲水好产商品型:聚核苷酸荧光/闪光:无外表/性状:固体粉尘或粒状(以现实的外表为标准)饱和度:90-100%组成式:



pg电子娱乐游戏app
微信公众号
官方微信