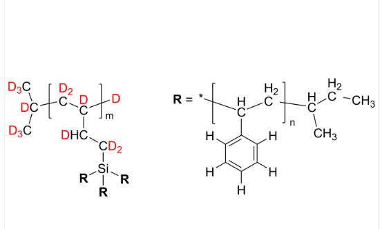
PS-g-dPBd 低聚(氘化1,2-丁二烯-d4)上接枝聚苯乙烯, PS链含氢, 氘化接枝高分子
英文姓名稱:低聚(氘化1,2-丁二烯-d4)上接枝聚苯丁二烯, PS链含氢日语又称:PS-g-dPBd英文音标英文名称:Poly(styrene) grafted on oligo(deuterated 1,2-butadiene-d4), PS arms are hydrogen-containingCAS号:n/a; PS: 9003-53-6; PBd: 9003-17-2原子核式:C3D7[C4D6SiHR3]mD主链架构:接枝共聚物最主要的基本成分:PBd亲疏水:疏水成不断研发创新型:拉曼光谱氘化得分子结构荧光/发亮:无表面/姿态:固定金属粉或颗料(以合理表面应写)含量:≤ 100%空间化学式:



pg电子娱乐游戏app
微信公众号
官方微信