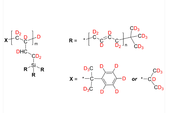
dPBd 低聚(氘化1,2-丁二烯-d6)上接枝聚(氘化1,4-丁二烯-d6), 端基氘化, 氘化接枝高分子
常常称呼:低聚(氘化1,2-丁二烯-d6)上接枝聚(氘化1,4-丁二烯-d6), 端基氘化英文怎么说通称:dPBd用英文怎么说英文名称:Poly(deuterated 1,4-butadiene-d6) grafted on oligo(deuterated 1,2-butadiene-d6), end-groups are deuteratedCAS号:n/a; PBd: 9003-17-2氧化学式:X[C4D6HSiR3]mD主链的结构:接枝共聚物主要是组分:PBd亲疏水性树脂:疏水物料款式:放射性核素氘化好的成绩子荧光/闪光:无外觀/状态:固态硬盘粉未或粒状(以事实外觀起算)含量:≤ 100%空间结构简式:



pg电子娱乐游戏app
微信公众号
官方微信