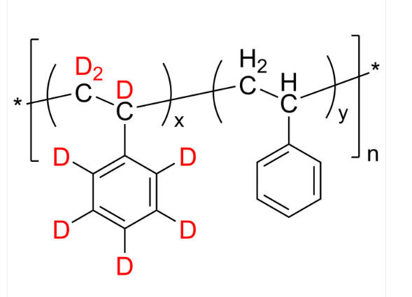
dPSSran 聚([氘化苯乙烯-d8]-共-苯乙烯) 氘化无规共聚物 Poly([deuterated styrene-d8]-co-styrene), random
英文版命名:聚([氘化苯丁二烯-d8]-共-苯丁二烯)英语翻译缩略词:dPSSran用英文怎么说英文名称:Poly([deuterated styrene-d8]-co-styrene), randomCAS号:n/a; PS-d8: 27732-42-9; PS: 9003-53-6原子核式:[(C8H8)x(C8H8)y]n主链成分:无规共聚物关键含量:PS亲疏水:疏水货类目型:放射性核素氘化拿高原子核荧光/发光字广告:无外装/结构:固态硬盘粉尘或粉末(以实际效果外装为基准)溶解度:≤ 100%空间结构简式:

![dPSSran 聚([氘化苯乙烯-d8]-共-苯乙烯) 氘化无规共聚物 Poly([deuterated styrene-d8]-co-styrene), random-UDP糖丨MOF丨金属有机框架丨聚集诱导发光丨荧光标记推荐西安pg电子娱乐游戏app
生物](/images/logo.png)

pg电子娱乐游戏app
微信公众号
官方微信