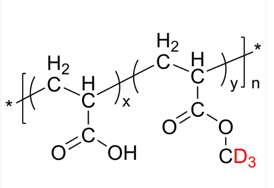
PAAd3MAran 聚(丙烯酸-共-[氘化丙烯酸甲酯-d3]) 氘化无规共聚物 Poly(acrylic acid-co-methyl-d3 acrylate), random
常常名号:聚(水性聚氨酯-共-[氘化水性聚氨酯甲酯-d3])日语名字简称:PAAd3MAran日文全稱:Poly(acrylic acid-co-methyl-d3 acrylate), randomCAS号:n/a; PAA: 9003-01-4; PMA: 9003-21-8分子结构式:[(C3H4O2)x(C3H3O2CD3)y]n主链结构特征:无规共聚物包括含量:PAA亲疏丙烯酸乳液:亲水车辆类形:拉曼光谱氘化最利用高分子结构荧光/亮光:无外型/社会形态:固体纳米银溶液或科粒(以真正外型时以)色度:≤ 100%的结构简式:

![PAAd3MAran 聚(丙烯酸-共-[氘化丙烯酸甲酯-d3]) 氘化无规共聚物 Poly(acrylic acid-co-methyl-d3 acrylate), random-UDP糖丨MOF丨金属有机框架丨聚集诱导发光丨荧光标记推荐西安pg电子娱乐游戏app
生物](/images/logo.png)

pg电子娱乐游戏app
微信公众号
官方微信