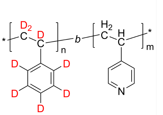
dPS-P4VP 聚(氘化苯乙烯-d8)-聚(4-乙烯基吡啶) 氘化二嵌段共聚物 Poly(deuterated styrene-d8)-b-poly(4-vinyl pyridine)
英语名称呼:聚(氘化苯氯丁二烯-d8)-聚(4-氯丁二烯基吡啶)因为俗称:dPS-P4VP用英语全名是:Poly(deuterated styrene-d8)-b-poly(4-vinyl pyridine)英文版别号:Poly(styrene-d8-block-4-vinylpyridine)CAS号:n/a; PS-d8: 27732-42-9; PS: 9003-53-6; P4VP: 25232-41-1原子核式:[C8D8]n[C7H7N]m主链设备构造:二嵌段共聚物包括成份:P4VP亲疏水溶性:两亲性车辆类行:拉曼光谱氘化比较高的分数子荧光/夜光:无外貌/特征:固定粉沫或颗粒物(以具体情况外貌准确)饱和度:≤ 100%机构式:



pg电子娱乐游戏app
微信公众号
官方微信