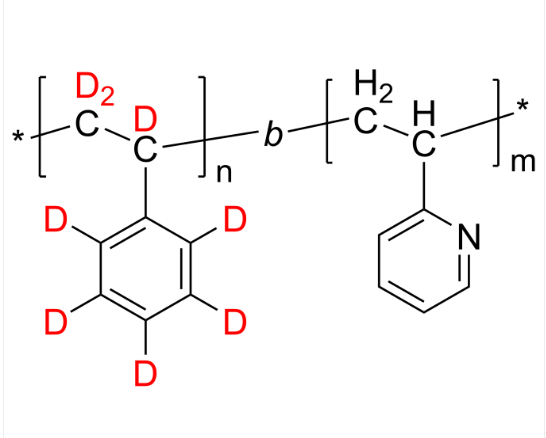
dPS-P2VP 聚(氘化苯乙烯-d8)-聚(2-乙烯基吡啶) 氘化二嵌段共聚物 Poly(deuterated styrene-d8)-b-poly(2-vinyl pyridine)
中文名称:聚(氘化苯乙烯-d8)-聚(2-乙烯基吡啶)
日语简写:dPS-P2VP国外英文中文名称:Poly(deuterated styrene-d8)-b-poly(2-vinyl pyridine)英语怎么说別称:Poly(styrene-d8-block-2-vinylpyridine)CAS号:n/a; PS-d8: 27732-42-9; PS: 9003-53-6; P2VP: 25014-15-7; PS-co-P2VP; 24980-54-9原子式:[C8D8]n[C7H7N]m主链设计:二嵌段共聚物基本营养成分:P2VP亲疏水:两亲性食项目型:放射性同位素氘化夺原子核荧光/闪光:无外形/性状:nvme固态粉末状或粒状(以实际上的外形准确)含量:≤ 100%结构设计式:

包装袋: 瓶裝借款用途:适用于临床学习,中成药增加,奈米技术水平和新装修材料学习。厂家:pg电子娱乐游戏app
生物技术生产地:兰州供货商:浙江pg电子娱乐游戏app
生物制品信息技术是有限的单位温情显示:仅使用在科技实验操作,不能够使用在体内!pg电子娱乐游戏app
海洋生物能能提供了各种各样的不同的配位合成树脂的嵌段共聚物,有均聚物,嵌段共聚物,星形配位合成树脂等。想关物品: PMMAnBuMAran-PnBuA-PHEMA 聚甲基亚克力甲酯共甲基亚克力正丁酯-聚亚克力正丁酯-聚甲基亚克力羟乙酯 ABC三嵌段共聚物PMMAnBuMAran-PtBuA-PHEMA 聚甲基亚克力 甲酯共甲基亚克力 正丁酯-聚亚克力 叔丁酯-聚甲基亚克力 羟乙酯 ABC三嵌段共聚物PMMAnBuMAran-PtBuA-PHEMATMS 聚甲基丙稀酸甲酯共甲基丙稀酸正丁酯-聚丙稀酸叔丁酯-聚(三甲医院基硅氧基-2-甲基丙稀酸乙酯) ABC三嵌段共聚物PMMAnBuMAran-PHEMA-PDMAEMA 聚甲基亚克力甲酯共甲基亚克力正丁酯-聚甲基亚克力羟乙酯-聚甲基亚克力二甲氨基乙酯 ABC三嵌段共聚物