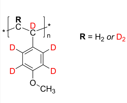
d5-P4MeOS/d7-P4MeOS 氘化聚(4-甲氧基苯乙烯-d5/d7) Deuterated Poly(4-methoxystyrene-d5/d7)
英语名字英文名称:氘化聚(4-甲氧基苯丁二烯-d5/d7)用英语俗称:d5-P4MeOS/d7-P4MeOS因为简称:Deuterated Poly(4-methoxystyrene-d5/d7)因为俗称:Poly(4-methoxystyrene-d5); Poly(4-methoxystyrene-d7); 4-Vinylanisole-d5/d7CAS号:n/a; P4MeOS: 24936-44-5原子核式:[C9H5D5O]n/[C9H3D7O]n主链架构:直链均聚物大部分含量:P4MeOS亲疏水性树脂:疏水成商品种性质:拉曼光谱氘化比较高的分数子荧光/放光:无金属机身/价值形式:固定粉末状或顆粒(以现实的金属机身算起)溶解度:≤ 100%型式式:



pg电子娱乐游戏app
微信公众号
官方微信