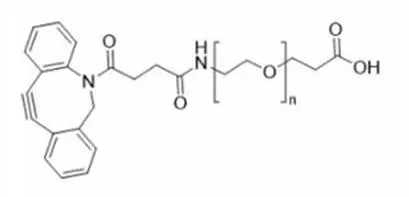
中文名:羧基聚乙二醇环辛炔,环辛炔聚乙二醇羧基,环辛炔聚乙二醇羧酸
英文名:DBCO-PEG-COOH,DBCO-PEG-acid
CAS号:N/A
分子量:1K,2K,3.4K,5K,10K,20K
外观:产物呈固体或粘性液体,取决于PEG分子量
规格:1g,5g,10g
货期:根据具体的产品而定
纯度:95%+
用途:实验用途,科学研发,可定制服务
储存条件: 需要存储在-20°C,避光,避湿的环境,注意取用需放置室温后再开盖取用,避免吸潮,避免反复冻溶。
要注意相关事宜:大部分的制剂无可适用来临床医学,无可适用来使用,身体。DBCO-PEG-COOH,末梢羧酸在活性剂(如EDC或HATU)会有下可与伯胺基发应,成型稳定可靠的酰胺键。DBCO 点击事件普通机械可在水溶性减慢液中运作,也可在有机酸相转移催化剂衡量于底物团伙的化学性质,中带 PEG 臂的免疫试剂会新增有机化合物的亲水溶性,的功能化的聚乙二醇也可也可以突显球营养素,肽和资料。

对应食品:
DBCO-PEG-Insulin 二苯并环辛炔-聚乙二醇-胰岛素DBCO-PEG-Casein 二苯并环辛炔-聚乙二醇-络血清DBCO-PEG-Ovalbumin 二苯并环辛炔-聚乙二醇-卵清蛋白质DBCO-PEG-Lectins 二苯并环辛炔-聚乙二醇-凝集素DBCO-PEG-Dextran 二苯并环辛炔-聚乙二醇-葡聚糖/右旋糖酐DBCO-PEG-Lysozyme 二苯并环辛炔-聚乙二醇-溶菌酶DBCO-PEG-alginate 二苯并环辛炔-聚乙二醇-海藻颗粒酸钠DBCO-PEG-Chitosan 二苯并环辛炔-聚乙二醇-壳聚糖
服务商:西安市pg电子娱乐游戏app
生态学科学技术有限的厂家储放用时:3年维持:冷冻冷藏舒心注意:仅限于研发,不是用到人体人体实验设计