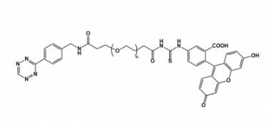
Tetrazine-PEG-FITC 四嗪聚乙二醇荧光素 点击化学PEG荧光素
四嗪常用于成千上万怪物成相和怪物共轭app的怪物正交作用。现阶段被比较广泛app于血清质不同位点用途阐述、亚组织格局确定性标上、药物治疗靶向药物推送、活体家禽原子核视频和怪物浏览器兼容性涂料的分离纯化等。
产品名称 Tetrazine-PEG-FITC 四嗪聚乙二醇荧光素
中文名称 四嗪聚乙二醇荧光素
英文名称 Tetrazine-PEG-FITC
分子量 400
CAS N/A
存储条件 -20°冷冻,避光
保存时间 一年
其它分子量 600 1000 2000 3400 5000 10000

PLA-PEG-TCO 反式环辛烯-聚乙二醇-聚乳酸
PAA-PEG-TCO 反式环辛烯-聚乙二醇-聚丙烯酸
Polystyrene-PEG-TCO 反式环辛烯-聚乙二醇-聚丙乙烯
PEI-PEG-TCO 反式环辛烯-聚乙二醇-聚乙烯亚胺
PAMAM-PEG-TCO 反式环辛烯-聚乙二醇-树枝状聚酰胺
PNIPAAm-PEG-TCO 反式环辛烯-聚乙二醇-聚N-异丙基丙烯酰胺
PtBA-PEG-TCO 反式环辛烯-聚乙二醇-聚丙烯酸叔丁酯
PMMA-PEG-TCO 反式环辛烯-聚乙二醇-聚甲基丙烯酸甲酯
P4VP-PEG-TCO 反式环辛烯-聚乙二醇-聚4-乙烯基吡啶
设备厂家:上海pg电子娱乐游戏app 生物体网络局限机构放置时间段:一年上传:保鲜冷库温暖警告:只供科学研究,不可中用女性身体实验报告

pg电子娱乐游戏app
微信公众号
官方微信