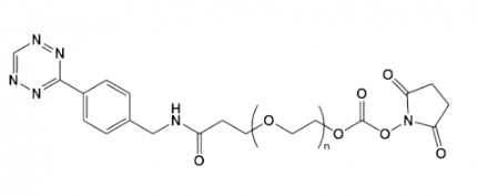
Tetrazine-PEG-NHS 四嗪-聚乙二醇-活性酯 点击化学PEG活性酯
四嗪都可以于很多昆虫显像和昆虫共轭应该用的昆虫正交不起作用。现被非常广泛应该用于淀粉酶质独特位点的功能加以分析、亚组织细胞的结构会保护性标志、口服药靶向治疗传递数据、活体昆虫原子核影象和昆虫浏览器兼容性产品的准备等。
产品名称 Tetrazine-PEG-NHS 四嗪-聚乙二醇-活性酯
中文名称 四嗪-聚乙二醇-活性酯
英文名称 Tetrazine-PEG-NHS
分子量 400
CAS N/A
存储条件 -20°冻存
保存时间 一年
其它分子量 600 1000 2000 3400 5000 10000

TCO-PEG-Chondroitin sulfate 反式环辛烯-聚乙二醇-硫酸软骨素
TCO-PEG-HRP 反式环辛烯-聚乙二醇-辣根过氧化氢酶
TCO-PEG-MTX/Methotrexate 反式环辛烯-聚乙二醇-甲氨蝶呤
TCO-PEG-Paclitaxel 反式环辛烯-聚乙二醇-紫杉醇
TCO-PEG-Doxorubicin 反式环辛烯-聚乙二醇-阿霉素
TCO-PEG-cisplatin/CDDP 反式环辛烯-聚乙二醇-顺铂
TCO-PEG-Ciprofloxacin 反式环辛烯-聚乙二醇-环丙沙星
制造商:石家庄pg电子娱乐游戏app 动物科学不多工司保存时长:2年保存图片:冰箱暖心告诉:未经许可科研项目,可以适用人体细胞调查

pg电子娱乐游戏app
微信公众号
官方微信