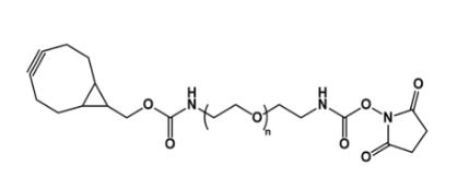
BCN-PEG-NHS 环丙烷环辛炔聚乙二醇活性酯 BCN-PEG-活性酯
双环[6,1,0]壬炔 (BCN) (环丙烷环辛炔)应该能够 无铜的点开电化学与叠氮化物标出的原子或海洋生物原子响应制成固定的三氮唑衔接。
产品名称 BCN-PEG-NHS 环丙烷环辛炔聚乙二醇活性酯
中文名称 环丙烷环辛炔聚乙二醇活性酯
英文名称 BCN-PEG-NHS
分子量 1000
CAS N/A
溶解度 DMSO,CHCl3,甲醇
存储条件 -20°冷冻
保存时间 一年
其它分子量 2000 3400 5000 10000

TCO-PEG-Comarin 反式环辛烯-聚乙二醇-香豆素
TCO-PEG-NIR-II dyes 反式环辛烯-聚乙二醇-近红外二区染料
TCO-PEG-NIR-dyes 反式环辛烯-聚乙二醇-近红外染料
TCO-PEG-Bodipy/BDP 反式环辛烯-聚乙二醇-氟化硼二吡咯
TCO-PEG-IR825 反式环辛烯-聚乙二醇-IR825荧光染料
TCO-PEG-HMME 反式环辛烯-聚乙二醇-血卟啉单甲醚
TCO-PEG-Ce6 反式环辛烯-聚乙二醇-二氢卟吩
TCO-PEG-DSPE 反式环辛烯-聚乙二醇-二硬脂酰基磷脂酰乙醇胺
厂商:银川pg电子娱乐游戏app 生态学科持有限制的总部存放时长:半年保管:要在冷藏室保存温磬警告:未经许可研发,不可广泛用于人体人体实验性

pg电子娱乐游戏app
微信公众号
官方微信