ICG-COOH cas181934-09-8 吲哚菁绿-羧基
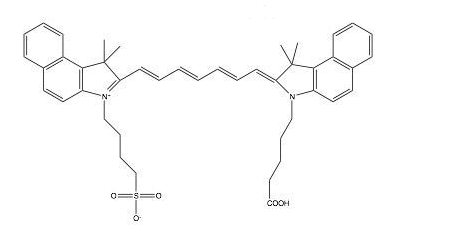
ICG-COOH cas181934-09-8 吲哚菁绿-羧基ICG就是一种带负电荷量的聚甲基菁染剂,跟CY3,CY5,CY7这样的菁染剂与众不同的是他有这较高的消除和放射光谱,它的光谱是800nm,总之ICG的跟CY7.5的光谱比较敏感,但ICG却发挥着CY7.5始终无法完成的猩红神经细胞依照力量。中文版英文名称: 吲哚菁绿-羧基英文音标种类:ICG-COOH 外装: 绿色环保固态垃圾咖啡豆CAS: 181934-09-8分子结构式:C45H50N2O5S取决于大分子效果(g/mol): 730.6溶解度性:DMF/DMSOExcitation maximum/Emission maximum(nm):785/821目光须知以免 长周期排斥灯光。保存文档情况:-20°闭光。结构的式



pg电子娱乐游戏app
微信公众号
官方微信