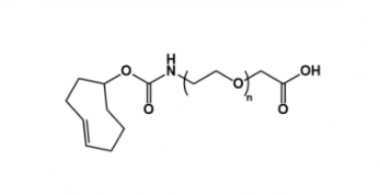
点击化学PEG羧基 TCO-PEG-COOH 羧基-聚乙二醇-反式环辛烯
反式环辛烯(TCO)看做亲双烯体与S-四嗪(Tetrazine)在人体生理先决条件下的体现有没有需崔化剂、体现时延快的优缺点,被范围广应该用于生物制品和建材科学论述的论述中。
产品名称 TCO-PEG-COOH 羧基-聚乙二醇-反式环辛烯
中文名称 羧基-聚乙二醇-反式环辛烯
英文名称 TCO-PEG-COOH
分子量 1000
存储条件 -20°冷冻,干燥保存
保存时间 1年
其他分子量 2000 3400 5000 10000

TCO-PEG-PLGA 反式环辛烯-聚乙二醇-聚乳酸-羟基乙酸共聚物
TCO-PEG-PCL 反式环辛烯-聚乙二醇-聚已内酯
TCO-PEG-PLA 反式环辛烯-聚乙二醇-聚乳酸
TCO-PEG-PAA 反式环辛烯-聚乙二醇-聚丙烯酸
TCO-PEG-Polystyrene 反式环辛烯-聚乙二醇-聚丙乙烯
儲存日期:2年保存图片:冷冻冷藏温情告诉:仅作研究,没办法中用机体实验性

pg电子娱乐游戏app
微信公众号
官方微信