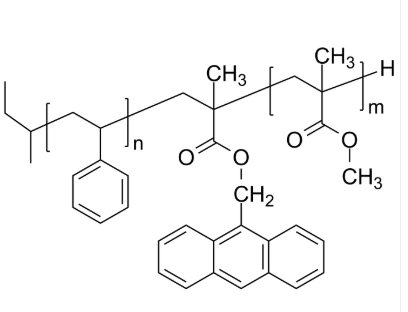
PS-AnMMA-PMMA 聚苯乙烯-聚甲基丙烯酸甲酯, 链中心荧光蒽标记二嵌段共聚物 Poly(styrene)-b-poly(methyl methacrylate)
中文翻译字各称:聚苯丁二烯-聚甲基亚克力甲酯, 链学校荧光蒽标记图片二嵌段共聚物英文音标英文缩写:PS-AnMMA-PMMA英语怎么说全稱:Poly(styrene)-b-poly(methyl methacrylate), with anthracen-9-ylmethyl methacrylate unit at the block junction日语俗称:Poly(styrene-block-methyl methacrylate)CAS号:n/a; PS: 9003-53-6; PMMA: 9011-14-7分子结构式:[C8H8]n [C5H8O2]m主链结构类型:二嵌段共聚物核心有效成分:PMMA亲疏水:疏水產类别型:荧光标志好成绩子荧光/有光:蒽油漆颜色/特征:nvme固态粉化或顆粒(以现实的油漆颜色准确)含量:≤ 100%设备构造式:



pg电子娱乐游戏app
微信公众号
官方微信