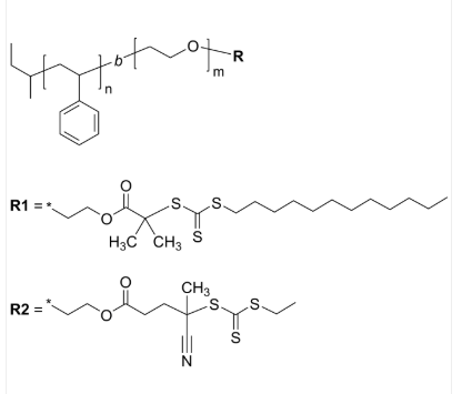
PS-PEO-RAFT 聚苯乙烯-聚乙二醇-RAFT 二嵌段大分子引发剂 Poly(styrene)-b-poly(ethylene oxide), ω-RAFT-terminated diblock
中文翻译分类:聚苯丁二烯-聚乙二醇-RAFT国外英文名字简称:PS-PEO-RAFT因为英文名称:Poly(styrene)-b-poly(ethylene oxide), ω-RAFT-terminated diblock copolymerCAS号:n/a; PS: 9003-53-6; PEG: 25322-68-3化学结构式式:[C8H8]n [C2H4O]m主链形式:二嵌段共聚物具体组分:PEO/PEG亲疏水溶性:两亲性护肤不断研发创新型:RAFT免疫试剂(大原子产生剂)荧光/变色:无外表/社会形态:固定粉末状原材料或颗料(以实际情况外表应写)饱和度:≤ 100%设备构造式:



pg电子娱乐游戏app
微信公众号
官方微信