PS-RAFT 聚苯乙烯-RAFT 双端/单端羧基 大分子引发剂 Poly(styrene), ω-RAFT-terminated
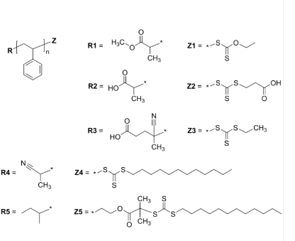
英文版公司名称:聚苯乙稀-RAFT 双端/单端羧基日文缩写英文:PS-RAFT英文版它的全称:Poly(styrene), ω-RAFT-terminatedCAS号:n/a; PS: 9003-53-6碳原子式:[C8H8]n主链的结构:直链均聚物最主要的成份:PS亲疏水溶性:疏水服务多种类型:RAFT生化试剂(大原子引致剂)荧光/发亮:无外形/性状:固态硬盘安装粉尘或小粒(以实际的外形应写)纯净度:≤ 100%的化学结构式:



pg电子娱乐游戏app
微信公众号
官方微信