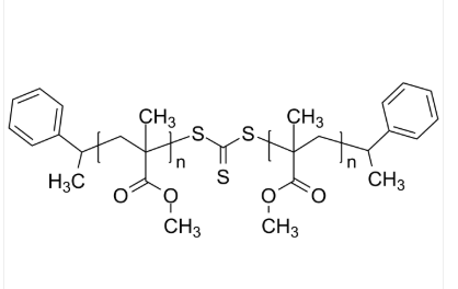
PMMA-RAFT-PMMA 聚甲基丙烯酸甲酯 三硫代碳酸酯(RAFT)位于链中间 Poly(methyl methacrylate), trithiocarbonate (RAFT moiety)
中文版分类:聚甲基亚克力 甲酯 三硫代碳酸酯(RAFT)应用于链期间日语名字简称:PMMA-RAFT-PMMA国外英文全程:Poly(methyl methacrylate), with trithiocarbonate (RAFT moiety) in centerCAS号:n/a; PMMA: 9011-14-7分子结构式:[C5H8O2]n主链设备构造:直链均聚物最主要的化学成分:PMMA亲疏水:疏水企业产商品型:RAFT采血管(大团伙带来剂)荧光/夜光:无外表/形式:固体粉末状或颗粒物(以现场外表时以)溶解度:≤ 100%形式式:



pg电子娱乐游戏app
微信公众号
官方微信