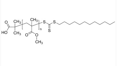
HOOC-PMMA-RAFT 羧基-聚甲基丙烯酸甲酯-RAFT 大分子引发剂 Poly(methyl methacrylate), (α-carboxy, ω-RAFT)-terminated
英文版明称:羧基-聚甲基水性聚氨酯甲酯-RAFT国外英文缩写英文:HOOC-PMMA-RAFT英语全程:Poly(methyl methacrylate), (α-carboxy, ω-RAFT)-terminatedCAS号:n/a; PMMA: 9011-14-7团伙式:[C5H8O2]n主链格局:直链均聚物注意因素:PMMA亲疏水:疏水服务类形:RAFT微生物培养基(大原子触发剂)荧光/亮光:无外在/要素:固定咖啡豆或小粒(以现实情况外在为界)色度:≤ 100%成分式:
包装: 瓶装


pg电子娱乐游戏app
微信公众号
官方微信