PACN-RAFT 聚丙烯腈-RAFT 双端羧基 大分子引发剂 Poly(acrylonitrile), ω-RAFT-terminated
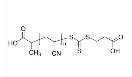
简体中文名字字:聚炳烯腈-RAFT 双端羧基日语名字简称:PACN-RAFT英文音标总称:Poly(acrylonitrile), ω-RAFT-terminatedCAS号:n/a; PACN: 25014-41-9原子核式:C3H5O2[C3H3N]nS3C4H5O2主链组成:直链均聚物注意组成成分:PACN亲疏水溶性:疏水食类目型:RAFT制剂(大原子造成剂)荧光/发亮:无美观/底部形态:固态硬盘粉未或颗粒剂(以实际上美观为界)饱和度:≤ 100%架构式:



pg电子娱乐游戏app
微信公众号
官方微信