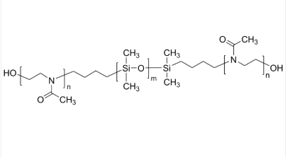
PMOXZ-PDMS-PMOXZ 聚甲基恶唑啉-聚二甲基硅氧烷-聚甲基恶唑啉 ABA三嵌段共聚物 with n-butyl link between blocks
英语名标题:聚甲基恶唑啉-聚二甲基硅氧烷-聚甲基恶唑啉日语简称为:PMOXZ-PDMS-PMOXZ英文版全名:Poly(2-methyl oxazoline)-b-poly(dimethyl siloxane)-b-poly(2-methyl oxazoline), with n-butyl link between blocks英文翻译别号:Poly(methyl oxazoline-block-dimethylsiloxane-block-methyl oxazoline)CAS号:n/a; PDMS: 9016-00-6 / 63148-62-9原子式:[C4H7NO]m[Si(CH3)2O]n[C4H7NO]m主链框架:ABA三嵌段共聚物通常成分表:PMOXZ/PMEOXZ亲疏水性树脂:两亲性企业产类别型:链端羟基蒙题子荧光/放光:无的外光/型态:固定纳米银溶液或粒状(以现场的外光来算)色度:≤ 100%成分式:



pg电子娱乐游戏app
微信公众号
官方微信