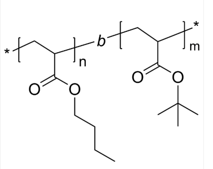
PnBuA-PtBuA 聚丙烯酸正丁酯-聚丙烯酸叔丁酯 二嵌段共聚物 Poly(n-butyl acrylate)-b-poly(t-butyl acrylate)
英文姓字名字大全:聚水性聚氨酯正丁酯-聚水性聚氨酯叔丁酯英语翻译又称:PnBuA-PtBuA英文音标它的全称:Poly(n-butyl acrylate)-b-poly(t-butyl acrylate)因为别号:Poly(n-butyl acrylate)-block-poly(tert-butyl acrylate)CAS号:n/a; PnBuA: 9003-49-0; PtBuA: 25232-27-3原子式:[C7H12O2]n [C7H12O2]m主链机构:二嵌段共聚物具体组成成分:PnBuA亲疏水:疏水成类别型:长规满氧分子荧光/出现发亮:无外形/特性:固体粒子或粒子(以真正外形起算)色度:≤ 100%组成式:



pg电子娱乐游戏app
微信公众号
官方微信