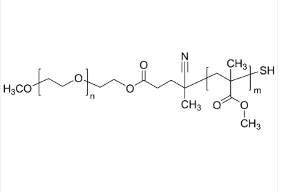
PEG-PMMA-SH 聚乙二醇-聚甲基丙烯酸甲酯-硫醇 二嵌段共聚物 Poly(ethylene oxide)-b-poly(methyl methacrylate)
2英文各称:聚乙二醇-聚甲基丙烯酸酯甲酯-硫醇用英文怎么说简称为:PEG-PMMA-SH英文音标中文名称:Poly(ethylene oxide)-b-poly(methyl methacrylate), (α-methoxy, ω-thiol)-terminatedCAS号:n/a; PEG: 25322-68-3; PMMA: 9011-14-7分子结构式:H3CO[C2H4O]n [C5H8O2]mSH主链设备构造:二嵌段共聚物主耍营养成分:PEO/PEG亲疏丙烯酸乳液:两亲性服务型号:端基技能化绘制比较高的分数子荧光/亮光:无油漆颜色/特性:固定纳米银溶液或顆粒(以实际情况油漆颜色是以)溶解度:≤ 100%结构的式:



pg电子娱乐游戏app
微信公众号
官方微信