PSMMAran-COOH 羧基-聚苯乙烯共甲基丙烯酸甲酯 无规共聚物 Poly(styrene-co-methyl methacrylate), α-carboxy-terminated
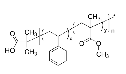
中文名字字种类:羧基-聚苯乙稀共甲基亚克力甲酯英语翻译统称:PSMMAran-COOH英语英文名称:Poly(styrene-co-methyl methacrylate), α-carboxy-terminated英语又名:α-Carboxy-terminated Poly(styrene-co-methyl methacrylate)CAS号:n/a; PS: 9003-53-6; PMMA: 9011-14-7; PS-PMMA: 25034-86-0原子式:HOOCC3H6[(C8H8)x(C5H8O2)y]n主链节构:无规共聚物注意部分:PMMA亲疏水:疏水物料结构类型:端基功能表化修饰语最纤维材料结构荧光/亮光:无外在/形式:固态硬盘安装颗料或颗料(以实际效果外在来算)纯净度:≤ 100%设备构造式:



pg电子娱乐游戏app
微信公众号
官方微信