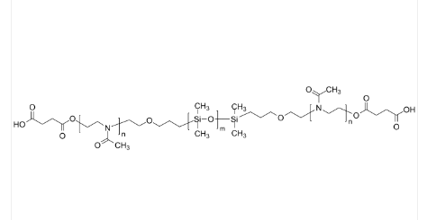
PMEOXZ-PDMS-PMEOXZ-2COOH 聚(2-甲基恶唑啉)-聚二甲基硅氧烷-聚(2-甲基恶唑啉)-双羧基 PMOXZ-PDMS-PMOXZ-2COOH ABA三嵌段共聚物
英文姓字名称大全:聚(2-甲基恶唑啉)-聚二甲基硅氧烷-聚(2-甲基恶唑啉)-双羧基英文音标简单来说就是:PMEOXZ-PDMS-PMEOXZ-2COOH/PMOXZ-PDMS-PMOXZ-2COOH英语被称为:Poly(2-methyl oxazoline)-b-poly(dimethyl siloxane)-b-poly(2-methyl oxazoline), α,ω-bis(carboxy)-terminated英文版学名:Poly(methyl oxazoline-block-dimethylsiloxane-block-methyl oxazoline), α,ω-bis(carboxy)-terminatedCAS号:n/a; PDMS: 9016-00-6/63148-62-9化学式式:C4H5O4[C4H7NO]n [Si(CH3)2O]m [C4H7NO]nC4H5O4主链设计:ABA三嵌段共聚物重点物质:PMOXZ/PMEOXZ亲疏丙烯酸乳液:两亲性物料型:端基功能模块化遮盖蒙题子荧光/发亮:无外形/特性:固定碎末或顆粒(以真正外形来算)饱和度:≤ 100%成分式:

包装方式: 玻璃瓶使用:用在临床实验,口服药施放,nm技巧和新的原材料实验。加盟品牌:pg电子娱乐游戏app
生物体产址:武汉批发商商:浙江pg电子娱乐游戏app
海洋生物科学技术十分有限品牌温磬提示卡:仅使用科学研究研究,不要使用人的身体!杭州pg电子娱乐游戏app
生物体技术有效集团公司具备PLGA,PCL,PAMAM,PAA等整合物的制作合成视频,具备大体活性酶类基团淡化,荧光符号等一下。相应货品: 36-Arm PBd 36臂星形-聚丁二烯 Poly(1,4-butadiene), 36-arm star polymer / Core: oligo(butadiene)38-Arm PBd 38臂星形-聚丁二烯 Poly(1,4-butadiene), 38-arm star polymer / Core: oligo(butadiene)50-Arm PBd 50臂星形-聚丁二烯 Poly(1,4-butadiene), 50-arm star polymer / Core: oligo(butadiene)6-Arm PBd 6臂星形-聚丁二烯 Poly(1,4-butadiene), 6-arm star polymer / Core: tetrakis(2-silylethyl)silane