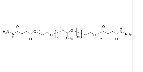
PEO-PPO-PEO-2NHNH2 酰肼-聚乙二醇-聚丙二醇-聚乙二醇-酰肼 ABA三嵌段共聚物 泊洛沙姆Pluronic衍生物
英文版简称:酰肼-聚乙二醇-聚丙二醇-聚乙二醇-酰肼用英语简写:PEO-PPO-PEO-2NHNH2英文怎么说全程:Poly(ethylene oxide)-b-poly(propylene oxide)-b-poly(ethylene oxide), α,ω-bis(hydrazide)-terminated用英文怎么说俗名:Poly(ethylene glycol-block-propylene glycol-block-ethylene glycol), α,ω-bis(hydrazide)-terminatedCAS号:n/a; PEO-PPO-PEO: 9003-11-6分子结构式:C4H7N2O3[C2H4O]n [C3H6O]m [C2H4O]nC4H7N2O2主链节构:ABA三嵌段共聚物注意因素:PEO-PPO-PEO亲疏水性聚氨酯:两亲性货种形式:端基功能表化淡化蒙题子荧光/亮光:无看/姿态:固定顆粒或顆粒(以实际上看为基准)色度:≤ 100%节构式:



pg电子娱乐游戏app
微信公众号
官方微信