CHO-PEG-PLA 甲醛基-聚乙二醇-聚乳酸(聚丙交酯) 两亲性二嵌段共聚物 Poly(ethylene oxide)-b-poly(lactide), α-formyl-terminated
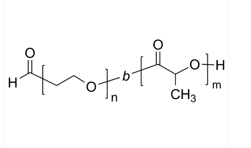
常常分类:室内甲醛基-聚乙二醇-聚乳酸(聚丙交酯)日语简写:CHO-PEG-PLA用英语全名是:Poly(ethylene oxide)-b-poly(lactide), α-formyl-terminated英文音标别号:Poly(ethylene oxide-block-lactide)CAS号:n/a; PEG: 25322-68-3; Poly(L-lactide): 26161-42-2; Poly(D-lactide): 106989-11-1; mPEG: 9004-74-4碳原子式:OHC[C2H4O]n [C3H4O2]mH主链组成部分:二嵌段共聚物通常组成成分:PLA亲疏水溶性:两亲性产品的类:生物工程溶解比较高的分数子荧光/亮光:无颜色/形态特征:nvme固态粉化或科粒(以现实的颜色应写)饱和度:≤ 100%构成式:



pg电子娱乐游戏app
微信公众号
官方微信