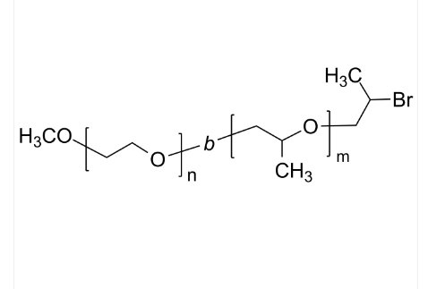
mPEG-PPO-Br/mPEO-PPO-Br 聚乙二醇-聚丙二醇-溴基 二嵌段共聚物 Poly(ethylene oxide)-b-poly(propylene oxide), ω-bromo-te
英文版标题:聚乙二醇-聚丙二醇-溴基英文翻译英文缩写:mPEG-PPO-Br/mPEO-PPO-Br英语它的全称:Poly(ethylene oxide)-b-poly(propylene oxide), ω-bromo-terminated英文翻译別称:Poly(ethylene glycol)-b-poly(propylene glycol), ω-bromo-terminated; Poly(ethylene glycol-block-propylene glycol)/Poly(ethylene oxide-block-propylene oxide)CAS号:n/a; PEG: 25322-68-3; PPO: 25322-69-4原子核式:H3CO[C2H4O]n [C3H6O]mC3H6Br主链形式:二嵌段共聚物包括的成分:PEO-PPO亲疏丙烯酸乳液:两亲性好产分类形:端基实用功能化装饰低大分子荧光/出现发亮:无外光/特性:固态硬盘安装咖啡豆或颗粒剂(以其实外光应写)溶解度:≤ 100%框架式:



pg电子娱乐游戏app
微信公众号
官方微信