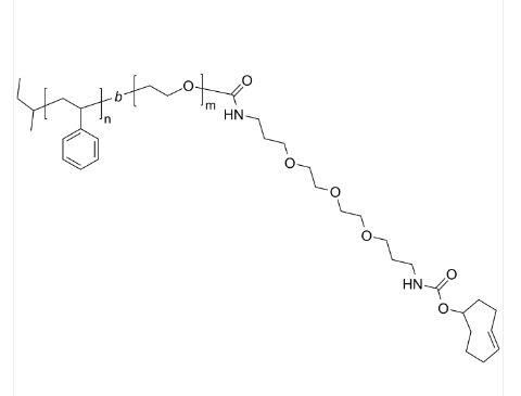
PS-PEO-TCO 聚苯乙烯-聚乙二醇-反环辛烯 二嵌段共聚物 Poly(styrene)-b-poly(ethylene oxide), ω-(trans-cyclooctene)
常常各称:聚苯丁二烯-聚乙二醇-反环辛烯日语简称英文:PS-PEO-TCO日文总称:Poly(styrene)-b-poly(ethylene oxide), ω-(trans-cyclooctene)-terminated用英文怎么说別称:Poly(styrene-block-ethylene oxide)CAS号:n/a; PS: 9003-53-6; PEG: 25322-68-3大分子结构:C4H9[C8H8]n [C2H4O]mTCO主链构造:二嵌段共聚物重要因素:PEO/PEG亲疏水:两亲性好产项目型:端基技能化掩盖夺团伙荧光/荧光:无铜网外形/型态:固定粉丝或颗粒剂(以实计铜网外形为标准)饱和度:≤ 100%架构式:



pg电子娱乐游戏app
微信公众号
官方微信