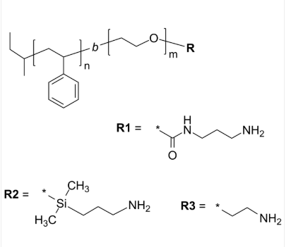
PS-PEO-NH2 聚苯乙烯-聚乙二醇-氨基 二嵌段共聚物 Poly(styrene)-b-poly(ethylene oxide), ω-amino-terminated
英文版品牌:聚苯丁二烯-聚乙二醇-氨基英文版又称:PS-PEO-NH2因为全名是:Poly(styrene)-b-poly(ethylene oxide), ω-amino-terminated英语翻译别号:Poly(styrene-block-ethylene oxide)CAS号:n/a; PS: 9003-53-6; PEG: 25322-68-3化学式式:C4H9[C8H8]n [C2H4O]mNH2主链结构设计:二嵌段共聚物常见有效成分:PEO/PEG亲疏水:两亲性物料类别:端基模块化装饰涨氧分子荧光/荧光:无外貌/行态:固体粉沫或粒子(以实际效果外貌为基准)纯净度:≤ 100%构成式:



pg电子娱乐游戏app
微信公众号
官方微信