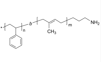
PS-PIP-NH2 聚苯乙烯-聚(1,4-异戊二烯)-氨基 二嵌段共聚物 Poly(styrene)-b-poly(1,4-isoprene), ω-amino-terminated
繁体中文命名:聚苯丁二烯-聚(1,4-异戊二烯)-氨基英语怎么说缩略词:PS-PIP-NH2英文音标全名是:Poly(styrene)-b-poly(1,4-isoprene), ω-amino-terminated因为别称:Poly(styrene-block-isoprene), ω-amino-terminatedCAS号:n/a; PS-PIP: 25038-32-8; PS: 9003-53-6; PIP: 9003-31-0分子结构式:[C8H8]n [C5H8]m (CH2)3NH2主链构造:二嵌段共聚物主要是化学物质:PIP亲疏丙烯酸乳液:疏水新产分形式:端基功能键化遮盖提大分子荧光/会亮:无外在/行态:固态硬盘安装粉未或粉末(以具体情况外在为标准)含量:≤ 100%格局式:



pg电子娱乐游戏app
微信公众号
官方微信