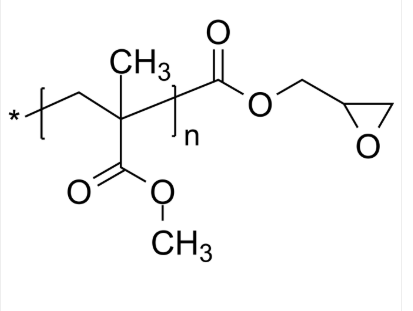
PMMA-Epoxy 聚甲基丙烯酸甲酯-环氧基 Poly(methyl methacrylate), ω-epoxy-terminated
简体中文明称:聚甲基丙烯酸酯甲酯-环氧防锈漆基英语翻译代称:PMMA-Epoxy日语总称:Poly(methyl methacrylate), ω-epoxy-terminated用英语俗称:Poly(methyl methacrylate), epoxy-terminatedCAS号:n/a; PMMA: 9011-14-7碳原子式:[C5H8O2]nC4H5O3主链结构类型:直链均聚物具体成份:PMMA亲疏丙烯酸乳液:疏水类产类别型:端基系统化修饰语比较高的分数子荧光/发光字:无颜色/社会形态:固定粉化或顆粒(以实际的颜色为界)色度:≤ 100%构成式:



pg电子娱乐游戏app
微信公众号
官方微信