PMMA-N3 | PMMA-BzN3 聚甲基丙烯酸甲酯-叠氮基 Poly(methyl methacrylate), ω-azide-terminated (by anionic)
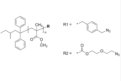
汉语称谓:聚甲基亚克力 甲酯-叠氮基英语怎么说通称:PMMA-N3 | PMMA-BzN3英文字母中文名称:Poly(methyl methacrylate), ω-azide-terminated (by anionic)CAS号:n/a; PMMA: 9011-14-7团伙式:C18H21[C5H8O2]nN3主链框架:直链均聚物最主要的的成分:PMMA亲疏丙烯酸乳液:疏水新产类目型:端基功能性化掩盖好成绩子荧光/荧光:无外装/形状:固态硬盘粉尘或小粒(以实际上的外装起算)含量:≤ 100%的结构简式:



pg电子娱乐游戏app
微信公众号
官方微信