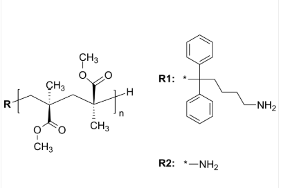
PMMA-NH2 聚甲基丙烯酸甲酯-氨基 间规 Poly(methyl methacrylate), α-amino-terminated; - syndiotactic
常常各称:聚甲基水性聚氨酯甲酯-氨基 间规英文怎么说也叫:PMMA-NH2英文怎么说称怎么读:Poly(methyl methacrylate), α-amino-terminated; - syndiotactic英语翻译別称:NH2 end functionalized PMMA; Poly(methyl methacrylate), mono-amino-terminated.CAS号:n/a; PMMA: 9011-14-7氧分子结构:H[C5H8O2]nC17H18NH2主链设备构造:直链均聚物核心化学物质:PMMA亲疏丙烯酸乳液:疏水物商品种种类:端基能力化遮盖涨分子结构荧光/亮光:无外貌/状态:固体粉化或科粒(以具体情况外貌算起)溶解度:≤ 100%构成式:



pg电子娱乐游戏app
微信公众号
官方微信